【数据结构】线段树
1.线段树基本介绍与实现
树状数组是一种基于分治思想的二叉树结构,用于在区间上进行信息统计,与按照二进制位进行区间划分的树状数组相比,线段树更加通用:
- 线段树每个节点都代表一个区间
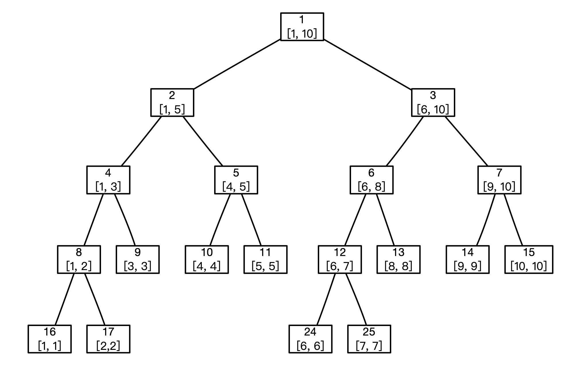
- 线段树具有唯一的根节点,代表的区间是整个统计范围,如
- 线段树的每个叶子节点都代表一个长度为1的元区间
- 对于每个内部节点 ,他的左子节点是 , 其中
mid = (l+r) >> 1
如下图所示,是一颗二叉树视角的线段树,我们要做的就是做好每个节点的统计信息。

线段树查询、更新的时间复杂度是O(logN),空间复杂度是O(4N)(至于为什么,可以参照上图证明下就可以了),支持区间操作的(区间操作的时候要做懒标记,即 pushdown 操作)。
下面是实现方式
struct Node
{
int l, r;
// TODO: 需要维护的信息和懒标记
}tr[N * 4];
void pushup(int u)
{
// TODO: 利用左右儿子信息维护当前节点的信息
}
void pushdown(int u)
{
// TODO: 将懒标记下传
}
void build(int u, int l, int r)
{
if (l == r) tr[u] = {l, r};
else
{
tr[u] = {l, r};
int mid = l + r >> 1;
build(u << 1, l, mid), build(u << 1 | 1, mid + 1, r);
pushup(u);
}
}
void update(int u, int l, int r, int d)
{
if (tr[u].l >= l && tr[u].r <= r)
{
// TODO: 修改区间
}
else
{
pushdown(u);
int mid = tr[u].l + tr[u].r >> 1;
if (l <= mid) update(u << 1, l, r, d);
if (r > mid) update(u << 1 | 1, l, r, d);
pushup(u);
}
}
int query(int u, int l, int r)
{
if (tr[u].l >= l && tr[u].r <= r)
{
return ; // TODO 需要补充返回值
}
else
{
pushdown(u);
int mid = tr[u].l + tr[u].r >> 1;
int res = 0;
if (l <= mid ) res = query(u << 1, l, r);
if (r > mid) res += query(u << 1 | 1, l, r);
return res;
}
}
2. 一些基本使用
【例题1】最大数
给定一个正整数数列 每一个数都在 0∼p−1 之间。
可以对这列数进行两种操作:
- 添加操作:向序列后添加一个数,序列长度变成 n+1;
- 询问操作:询问这个序列中最后 L 个数中最大的数是多少。
程序运行的最开始,整数序列为空。
一共要对整数序列进行 m 次操作。
写一个程序,读入操作的序列,并输出询问操作的答案。
输入格式
第一行有两个正整数 m,p,意义如题目描述;
接下来 m 行,每一行表示一个操作。
如果该行的内容是
Q L,则表示这个操作是询问序列中最后 LL 个数的最大数是多少;如果是
A t,则表示向序列后面加一个数,加入的数是 (t+a) mod p。其中,t 是输入的参数,a 是在这个添加操作之前最后一个询问操作的答案(如果之前没有询问操作,则 a=0)。第一个操作一定是添加操作。对于询问操作,L>0 且不超过当前序列的长度。
输出格式
对于每一个询问操作,输出一行。该行只有一个数,即序列中最后 LL 个数的最大数。
数据范围
输入样例:
10 100 A 97 Q 1 Q 1 A 17 Q 2 A 63 Q 1 Q 1 Q 3 A 99输出样例:
97 97 97 60 60 97样例解释
最后的序列是 97,14,60,96
实现代码如下
#include <iostream>
#include <cmath>
#include <algorithm>
#include <vector>
using namespace std;
const int N = 2e5 + 10;
struct Node {
int l, r;
int val;
} tr[N << 2];
void pushUp(int u) {
tr[u].val = max(tr[u << 1].val, tr[u << 1 | 1].val);
}
void build(int l, int r, int u) {
tr[u].l = l, tr[u].r = r;
if (l == r) return;
int mid = l + r >> 1;
build(l, mid, u << 1);
build(mid + 1, r, u << 1 | 1);
}
void modify(int u, int i, int v) {
int l = tr[u].l, r = tr[u].r;
if (l == r) {
tr[u].val = v;
return;
}
int mid = l + r >> 1;
if (i <= mid) modify(u << 1, i, v);
else modify(u << 1 | 1, i, v);
pushUp(u);
}
int query(int l, int r, int u) {
if (tr[u].l >= l && tr[u].r <= r) return tr[u].val;
int mid = tr[u].l + tr[u].r >> 1;
if (r <= mid) return query(l, r, u << 1);
else if (l > mid) return query(l, r, u << 1 | 1);
else return max(query(l, mid, u << 1), query(mid + 1, r, u << 1 | 1));
}
int main() {
int m, p, k, n = 0;
int last = 0;
build(1, N, 1);
cin >> m >> p;
while (m--) {
char op[2];
scanf("%s%d", op, &k);
if (op[0] == 'Q') {
last = query(n - k + 1, n, 1);
cout << last << endl;
} else {
modify(1, ++n, (k + last) % p);
}
}
return 0;
}